分享一道国外的导数不等式的题目及解答
首页
米乐课堂app下载介绍
产品展示
新闻动态
栏目分类
米乐课堂app下载
米乐课堂app下载介绍
产品展示
新闻动态
你的位置:
米乐课堂app下载
>
新闻动态
> 分享一道国外的导数不等式的题目及解答
分享一道国外的导数不等式的题目及解答
发布日期:2025-12-17 21:34 点击次数:95
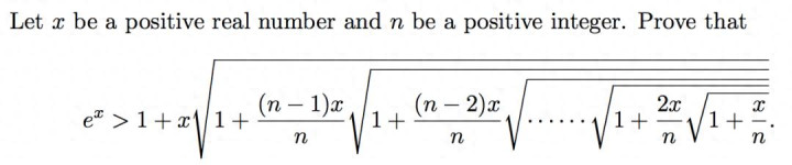
最近,看到国外的一道导数不等式题目如下:
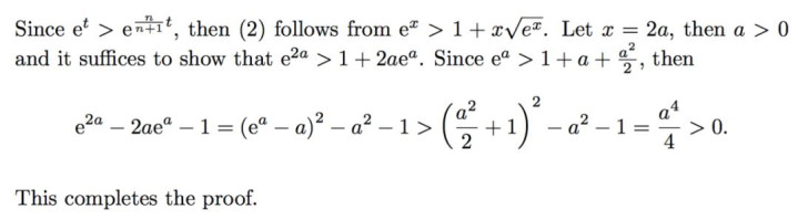
证明过程使用了数学归纳法:
或许这道题目会被改编成国内的导数题目!
上一篇:
第90分钟绝平, 瓜迪奥拉不敢相信, 两度领先也没用, 揪出头号罪人
下一篇:
杜兰特: 每个人无论首发替补都很职业 这体现了教练的领导力